
每天介绍一所学校,欢迎来到【学在成都】专栏,走进成都校园,分享学校环境、师资力量、特色课程、招生计划和录取分数线。每周一到周五晚上更新。


📑学段:初中
📫区域:成华区
📌性质:公办
🏫地址:二仙桥街道长林盘二路西侧
成都理工大学附属中学是由成华区、成都市树德中学、成都理工大学联合创办的一所公办中学。学校由树德中学领办,引入树德中学的育人理念、德育课程与学术平台,同时深度融合成都理工大学的学科与平台资源,以“树德树人 明理明真”为办学理念,致力于打造高起点、高标准、高品质的优质学校,于2025年9月正式开校招生。

⛳占地面积:35亩

图源:成华教育
🎓基础设施:学校硬件配置一流,理工特色鲜明。校园以砖红色现代建筑为主,4米宽连廊贯通教学楼、图书馆、食堂与运动场,并饰有节气与非遗彩绘,人文氛围浓厚。教室标配纳米智慧黑板、可升降课桌椅,全区域覆盖中央空调与新风系统;配套高标准理化生实验室、科创教室、地质标本展区、室内体育馆、标准运动场及图书馆,每层设休闲平台,兼顾学习与活动。

树德领航、理工赋能
理工大附属中学由树德教育集团总校长胡霞担任学校总学监,成都树德中学派驻干部担任本校书记和校长,组建办学指导专家委员会,全面引领学校与树德中学“学校共治,课堂共建,教师共培,学生共育,资源共享”。成都树德中学师生发展资源全领域与理工附中师生无差别共享,全面引入树德中学的育人理念、德育课程与学术平台。
此外,理工大附中还深度融合成都理工大学的学科与平台资源,构建贯通基础教育与高等教育的育人体系。大学专家与教授定期走进附中讲学,指导地球科学、机器人、编程等高阶社团;附中学生能走进大学实验室、图书馆、博物馆与科研现场,在真实学术场景中激发探究精神,拓展认知边界。

🙋学校的教师来自四个方面:一是树德中学直接派驻的干部及骨干教师(书记和校长);二是成华区抽调的名优教师、学科带头人;三是专项引进的“高层次人才”成熟教师;四是按照树德中学标准从全国选拔的优秀青年教师。


【学在成都】栏目负责人
即可咨询投稿、推广学校

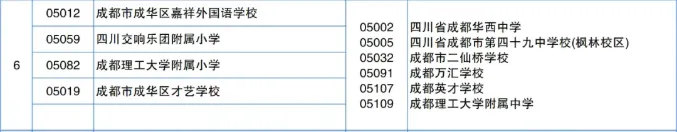
成都理工大学附属中学划片(2025)


图源:成华教育
划片范围:多校划片电脑随机录取入学
该片区学校6所:四川省成都华西中学、四川省成都市第四十九中学校(枫林校区)、成都市二仙桥学校成都万汇学校、成都英才学校、成都理工大学附属中学
长按下方二维码

关注微信公众号【本地宝成都升学】
在聊天对话框回复【学校】
获取成都学校名单
查询新建学校消息、升学划片范围等消息


更多学校专栏文章,可点击文末左下角“学在成都”合集查看。
本地宝成都升学每天都为您带来本地教育资讯!
右下角点个“
”
小编工资涨一毛!


👉可以在微信对话框回复以下“关键词”获取对应信息:

回复【学考】获取2026学考消息
回复【幼儿园】获取成都即时入园报名入口
回复【学籍】获取四川中小学生学籍查询指南
回复【少儿互助金】获取少儿互助金全攻略
回复【随迁子女】获取成都随迁子女入学申请准备详情
投稿 & 合作 & 建议 & 联系
合作QQ | 4009999087(注:手机QQ添加时,若无法找到
请选择“找公众号”即可添加)
合作电话:400-9999-087
点击查看:合作微信
本文由本地宝成都升学编辑整理发布
素材来源:成华教育、成都理工大学附属中学
如涉及侵权或对版权有疑问
请邮件联系 wwjuan@bendibao.com 删除处理
编辑:司墨(曾冲)
插图:见标注
↓点击阅读原文,进入学校大全